CNRS HEBDO

À l'affiche

Vignette illustrant cette actualité <>Retour sur le défi FutuRobot

Revivez le défi FutuRobot, un jeu de piste 100 % numérique et interactif à la rencontre des robots emblématiques de la recherche française.

À la une

Vignette illustrant cette actualité

Les deux prix du public et le prix coup de cœur du jury du concours La preuve par l'image sont respectivement décernés à Pierre Albert pour sa photographie "Skyline", à Meriem Bouchilaoun pour sa photographie "Floraison nanométrique" et à Erwan Amice pour sa photographie "Larme de mer".

  Coronavirus COVID-19 haut de page

Vignette illustrant cette actualité

Mesures protectrices, travail en présentiel et en télétravail, colloque, santé, missions et déplacements... Retrouvez sur l'intranet toutes les informations nécessaires, mises à jour. Pour accéder aux informations sur l’intranet - Si vous ne savez pas comment vous connecter.

Vignette illustrant cette actualité

Le CNRS se mobilise pour vous donner des informations scientifiques fiables sur la pandémie.

Vignette illustrant cette actualité

Comment les 180 candidats-vaccins en cours de développement et les près de 40 en phase clinique fonctionnent-ils ? Quand saura-t-on s’ils sont vraiment efficaces ? CNRS le Journal a mené l’enquête.

Vignette illustrant cette actualité

Thomas Lacroix, géographe au CNRS, explique la redistribution, en raison de la pandémie, des grands mouvements migratoires qui se régionalisent ou se dirigent vers d’autres pays économiquement attractifs tels que la Chine.

Vignette illustrant cette actualité

Un cycle de 10 webinaires sur le thème : " Éthique de la recherche, intégrité et responsabilités scientifique en situation de crise sanitaire " est proposé jusqu'au 17 mars 2021. Le colloque « Vers une gouvernance internationale de la recherche éthique et responsable. Premiers enseignements de la pandémie COVID-19 » clôturera ses séances.

  Vie institutionnelle haut de page

Vignette illustrant cette actualité

Actuellement l'ensemble du territoire est placé au niveau URGENCE ATTENTAT. Retrouvez sur l'intranet les informations relatives au plan vigipirate.

Vignette illustrant cette actualité

Nouvelle interface, nouvelles fonctionnalités, découvrez la dernière version de BibCNRS, le portail d'accès à plusieurs millions d'articles, de livres électroniques et de bases de données scientifiques. L’Inist propose propose jusqu’au 30 novembre des webinaires afin de faire découvrir cette nouvelle interface.

Vignette illustrant cette actualité

Des conseils utiles au bon déroulement de vos visioconférences sont disponibles dans la rubrique CNRS Pratique de l’intranet.

Vignette illustrant cette actualité

Téléchargement facile de textes intégraux dans l’archive aux 23 millions de documents de littérature scientifique ISTEX, récupération de l’ensemble de sa bibliographie, recherches documentaires, extraction de gros volumes de documents … telles sont les nouvelles fonctionnalités de l'application ISTEX-DL, spécialisée dans l’extraction de corpus.

  Europe et international haut de page

Vignette illustrant cette actualité

Le Point de contact national ERC organise les 12 et 13 novembre deux webinaires dédiés à la présentation des bourses ERC Starting et Consolidator, des conseils de préparation, des témoignages de lauréats et à une session de questions / réponses.

  Innovation et relations avec les entreprises haut de page

Vignette illustrant cette actualité

Issue d’un laboratoire commun entre le CNRS et l’Ecole polytechnique, la compagnie ThrustMe a conçu le premier moteur électrique pour des petits satellites qui utilise de l’iode. Ane Aanesland, fondatrice et CEO de ThrustMe, explique les enjeux alors que le prototype a été mis en orbite la semaine dernière.

  Vie scientifique haut de page

Vignette illustrant cette actualité

La mission Starfish 2030, réalise en partenariat avec l'Institut français de recherche pour l'exploitation de la mer, une enquête sur la question de l'eau, pour guider les actions prioritaires de préservation de la santé des océans et de l’eau douce.

Vignette illustrant cette actualité

L’édition 2020 du Cybathlon, compétition d'athlètes handicapés équipés de technologies actives et robotiques, se déroulera les 13 et 14 novembre avec la participation de deux équipes françaises  : - Smart Arm et sa prothèse de l’Institut des Systèmes Intelligents et de Robotique, en partenariat avec l’Inserm, - ANTS et son vélo électro-stimulé du Laboratoire de physique de l’ENS de Lyon.

Vignette illustrant cette actualité

La Plateforme nationale pour la recherche sur la fin de vie et l’Institut de la longévité des vieillesses et du vieillissement proposent un séminaire en ligne les 16 et 17 décembre 2020 consacré à la manière dont les personnes avançant en âge et leurs proches envisagent le vieillissement et la fin de vie.

  Appel à projets haut de page

Vignette illustrant cette actualité

La revue Image des mathématiques organise la 10e édition du concours Bulles au carré, où chaque participant est invité à réaliser une planche de BD sur le thème « Maths et épidémies ». Date limite de participation le 5 février 2021.

Vignette illustrant cette actualité

Cet appel sélectionnera des projets contribuant à l’insertion régionale de la Nouvelle-Calédonie, la Polynésie française et des îles Wallis-et-Futuna dans des thématiques liées au changement climatique, à l’économie, la sécurité sanitaire ou alimentaire, et permettant de faire progresser l’égalité entre les hommes et les femmes. Date limite des candidatures le 22 novembre 2020.

Vignette illustrant cette actualité

Afin d’encourager la coopération scientifique et la mobilité des chercheurs entre la France et la Finlande, la fondation Magnus Ehrnrooth lance un appel pour une bourse de doctorat en cotutelle avec la France en Mathématiques, Physique, Astronomie, Chimie et Chimie médicale. Date limite des candidatures le 30 novembre 2020.

Vignette illustrant cette actualité

L'association française des journalistes scientifiques de la presse d’information organise la 13e édition d'échange entre chercheurs et journalistes. Date limite des candidatures le 21 décembre 2020.

En délégation Centre-Est

  Actualités de la délégation haut de page

Vignette illustrant cette actualité

Pour services rendus à l'éducation nationale par décret du 25 et 28 octobre 2020, Guillaume Caumon, animateur de l'équipe RING de GeoRessources et professeur à l'ENSG, et Clotilde Boulanger, vice-présidente déléguée Stratégie doctorale de l'Université de Lorraine et directrice adjointe de l'Institut Jean Lamour (IJL) ont été promus respectivement Chevalier et Commandeur dans l'ordre des Palmes académiques.

  Actualités scientifiques haut de page

Vignette illustrant cette actualité

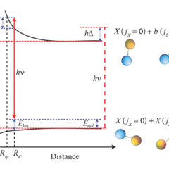
Les gaz quantiques d'atomes ultra-froids, à la température très inférieure au millionième de Kelvin, promettent des applications révolutionnaires pour les technologies quantiques. Au contraire des atomes, certaines molécules présentent des propriétés électriques qui peuvent être exploitées dans ce contexte. Une collaboration entre physiciens théoriciens du Laboratoire Interdisciplinaire Carnot de Bourgogne (ICB) et d'autres laboratoires propose un protocole utilisant un faisceau laser pour inhiber les réactions chimiques indésirables qui déstabilisent les échantillons moléculaires ultra-froids. Ces travaux ont été publiés dans la revue Physical Review Letters.

  Vie des laboratoires haut de page

Vignette illustrant cette actualité

Déborah Laks, chargée de recherche CNRS au Laboratoire Interdisciplinaire de Recherche "Sociétés, Sensibilités, Soin" (LIR3S) organise les 3 et 4 décembre 2020 en visioconférence le colloque intitulé Artistes-enseignantes au XXe siècle : la transmission au prisme du genre, en partenariat avec le programme de recherche HPCA de l’École Nationale des Chartes et AWARE : Archives of Women Artists, Research and Exhibition. Inscription gratuite et obligatoire.

Vignette illustrant cette actualité

Déposé dans le cadre de l'appel à projets 2019 du Fonds national pour la science ouverte, le projet PhSc-SO2020, pour la revue des Archives Poincaré Philosophia Scientiae  a été retenu parmi les 22 projets lauréats. Ce soutien vise à permettre la mise à disposition en accès ouvert immédiat de la revue, tout en maintenant sa version papier publiée par Kimé et son accès par les deux portails CAIRN et OpenEdition.

Vignette illustrant cette actualité

Le labex DAMAS (Design des Alliages Métalliques pour l’Allègement des Structures) réunissant les forces vives de la recherche en métallurgie chimique, physique, mécanique et numérique du LEM3 à Metz et de l'Institut Jean Lamour à Nancy a été renouvelé cette année pour 5 ans.

  À découvrir haut de page

Vignette illustrant cette actualité

Durant une heure, installés dans des petits salons de discussions virtuels, l'Expérimentarium de l’Université de Bourgogne vous propose de discuter avec les chercheurs et chercheuses des laboratoires dijonnais le dimanche 15 novembre 2020, le tout dans un format intimiste. Plusieurs séances sont proposées14h, 15h, 16h ou 17h. Inscription gratuite et obligatoire.

Dates limites haut de page

Les actualités qui suivent sont celles dont la date limite est proche.
Pour consulter la liste complète des actualités avec dates limites, cliquez ici.

CNRS Hebdo Centre-Est

Gestion de votre abonnement : https://www.cnrs.fr/actualite-du-cnrs/centre-est/Abonnement.aspx
Vos remarques sur le contenu éditorial : cnrs-hebdo@dr6.cnrs.fr
Vos remarques sur le fonctionnement technique : support-CNRSHebdo@dr14.cnrs.fr

© CNRS
Directeur de la publication : Antoine Petit
Directrice de la rédaction : Sophie Chevalon
Responsable éditoriale nationale : Karine Wecker
Coordination et rédaction : Alexandra Koffi

Responsable éditoriale régionale : Edwige Helmer Laurent
Rédactrice en chef régionale : Emmeline Rousseau
Rédactrice régionale : Christelle Moine
Correspondant technique : Laëtitia Pierron

Mentions Légales - Cookies - Données personnelles