Skip to main content
INSB
  • Fr
  • En
Search Search
Menu
Accueil

Navigation principale

  • Home
  • Our research
    • Partnerships
    • Disciplines
    • France 2030
    • Assessment
    • Collective scientific expertise
  • Our innovations
    • Protection
    • Entrepreneurship
    • Joint creation
  • Our challenges
    • Transversal challenges
    • Sustainable development
    • Sharing knowledge
    • Open science
  • The CNRS
    • Missions
    • Responsibilities
    • Organisation
    • Europe and International
    • Distinctions
Search Search
  • Your profile
  • Press
  • Recruitment
  • Industry
  • In-house
CNRS On the web
Directory
Donate
  • Fr
  • En
#
01.08.2020
Life

From as young as 4, children see males as more powerful than females

Download the press release (724.32 KB)
#
12.11.2019
Life

Speech could be older than we thought

Download the press release (256.6 KB)
11.23.2019
Environment

Omnipresence of microplastics in European rivers

Download the press release: (361.55 KB)
11.14.2019
Life

Plants borrowed genes from bacteria in order to conquer land

11.14.2019
Life

The Tara Oceans mission reveals variations in plankton biodiversity and activity from the equator to the poles

Download the press release: (346.17 KB)
11.07.2019
Life

SDHI pesticides are toxic for human cells

10.22.2019
Life

Ants: Jam-free traffic champions

Download the press release (370.6 KB)
10.17.2019
Life

A new discovery! How our memories stabilise while we sleep

Scientists at the Center for Interdisciplinary Research in Biology (CNRS/Collège de France/INSERM)An associate member of the Université PSL, since 2009 the Collège de France has had a…
Download the press release (606.49 KB)
09.05.2019

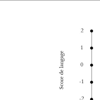
Having an elder brother is associated with slower language development

Télécharger le communiqué de presse. (294.13 KB)
#
09.04.2019
Society

Newfound phalanx fragment shows Denisovans closer to modern humans than Neanderthals

Pagination

  • Previous page ‹‹
  • Page 14
  • Next page ››
Subscribe to INSB
Home
Fondation CNRS CNRS Innovation CNRS Editions CNRS Alumni

Your profile

  • Press
  • Recruitment
  • Industry
  • In-house
  • Follow us

    • bluesky
    • twitter
    • linkedin
    • facebook
    • instagram
    • youtube
    All our social networks
    • Accessibility
    • Credits
    • Cookies
    • GDPR
    • Legal Notice